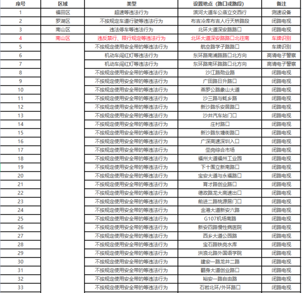
【卡车之家 原创】现在,机动车数量增多,产生的道路违法行为也变多了。为了有效管控这一行为可能产生的危害,近日,深圳启用302套交通技术监控设备,大多是用于抓拍不按规定使用安全带的违法行为。需要注意的是:其中有三套位于龙华区,主要用于抓拍机动车载货长度,宽度,高度超过规定的等违法行为。期余的监控多分布在宝安区。
下面,我们来看看监控的具体位置以及拍摄的违法类型:

来卡车之家App
看热销车型、卡车资讯>>kayou_1859347
2021-07-11
【卡车之家 原创】现在,机动车数量增多,产生的道路违法行为也变多了。为了有效管控这一行为可能产生的危害,近日,深圳启用302套交通技术监控设备,大多是用于抓拍不按规定使用安全带的违法行为。需要注意的是:其中有三套位于龙华区,主要用于抓拍机动车载货长度,宽度,高度超过规定的等违法行为。期余的监控多分布在宝安区。
下面,我们来看看监控的具体位置以及拍摄的违法类型:
注:本文为卡车之家原创,版权归卡车之家所有,任何媒体、网站或个人如转载、引用时,请须注明“来源:卡车之家,并标明作者”,对于侵权行为,卡车之家保留起诉权利。
