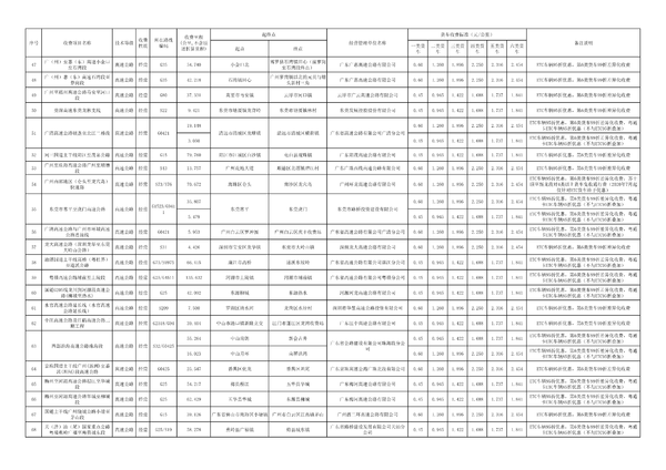
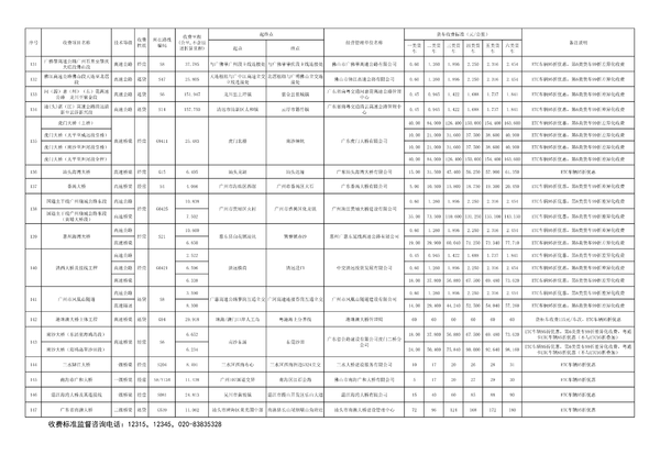
根据《国务院办公厅关于印发深化收费公路制度改革取消高速公路省界收费站实施方案的通知》(国办发[2019]23号),从2020年1月1日起,广东省调整货车通行费计费方式,统一按车(轴)型收费。
为保障社会公众知情权、监督权,根据《收费公路管理条例》及有关规定,现将我省收费公路货车有关收费标准信息,ETC发行服务机构、合作机构及客服服务监督电话公开(见附件),欢迎社会各界监督。

来卡车之家App
看热销车型、卡车资讯>>kayou_2147911
2020-05-08
根据《国务院办公厅关于印发深化收费公路制度改革取消高速公路省界收费站实施方案的通知》(国办发[2019]23号),从2020年1月1日起,广东省调整货车通行费计费方式,统一按车(轴)型收费。
为保障社会公众知情权、监督权,根据《收费公路管理条例》及有关规定,现将我省收费公路货车有关收费标准信息,ETC发行服务机构、合作机构及客服服务监督电话公开(见附件),欢迎社会各界监督。
免责声明:本文来自卡车之家卡家号自媒体,不代表卡车之家的观点和立场。未经允许,禁止转载。
加入我们,用你的优质内容,为自己发声,为行业代言,成为商用车圈儿的意见领袖.
